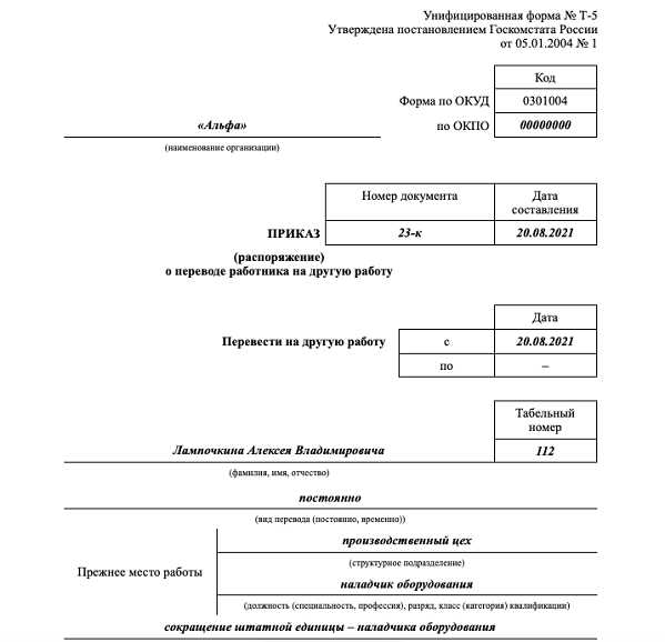
Как оформить перевод работника на должность директора — пошаговая инструкция, советы от экспертов
Повышение сотрудника на должность директора – важный и ответственный этап в его карьере. Однако, для успешного перехода на новую должность необходимо провести определенный ряд действий. В данной статье мы рассмотрим пошаговую инструкцию по переводу работника на должность директора, чтобы помочь вам успешно пройти данный процесс.
1. Определение квалификации и компетенций: первым шагом в переходе на должность директора является оценка квалификации и компетенций работника. Необходимо проанализировать его профессиональный опыт, навыки, знания и умения, чтобы убедиться в его пригодности для должности директора.
2. Разработка карьерного плана: на этом этапе необходимо совместно с работником разработать карьерный план, определить его цели, задачи и пути их достижения. Важно учесть, что становление директором – длительный процесс, требующий времени и усилий.
3. Обучение и развитие: для успешного перехода на должность директора необходимо обеспечить работнику возможность профессионального обучения и развития. Это может включать в себя участие в тренингах, курсах, семинарах, а также получение соответствующих сертификатов и лицензий.
4. Поддержка от руководства: на этапе перехода на должность директора необходима поддержка со стороны руководства компании. Важно, чтобы работник чувствовал свою значимость и уверенность в своих способностях.
5. Практика и оценка: для закрепления новых знаний и навыков необходима практика. Работник должен иметь возможность применить полученные знания на практике и оценить свои результаты. По окончании этого этапа следует провести оценку работника и выявить его успехи и слабые стороны.
Шаг 1: Оцените компетенции сотрудника
Перед тем, как перевести сотрудника на должность директора, необходимо провести оценку его компетенций. Это поможет убедиться в том, что сотрудник обладает необходимыми навыками и знаниями для выполнения новых задач.
Оценка компетенций может включать следующие аспекты:
- Анализ работы сотрудника на текущей должности. Необходимо оценить, насколько качественно и эффективно он выполнял свои обязанности. Это можно сделать на основе периодических оценок производительности, результатов выполнения задач и других метрик.
- Оценка навыков руководства. Директор должен уметь эффективно управлять командой, принимать стратегические решения и обеспечивать достижение поставленных целей. Проверьте, есть ли у сотрудника опыт ведения подчиненных и какие результаты он достигал в этой сфере.
- Определение лидерских качеств. Директор должен быть лидером, способным вдохновлять и мотивировать других. Оцените, есть ли у сотрудника такие качества как коммуникабельность, умение влиять на других и принимать решения.
- Анализ навыков управления временем и приоритетами. Директору приходится иметь дело с множеством задач и оперативно принимать решения. Убедитесь, что сотрудник обладает навыками планирования, организации своей работы и умением устанавливать приоритеты.
Проведение оценки компетенций позволит принять решение о переводе сотрудника на должность директора на основе объективных данных и убедиться, что он готов к новым вызовам.
Шаг 2: Определите требуемые навыки
Прежде чем найти подходящего кандидата на должность директора, необходимо определить, какие навыки и навыки должны присутствовать у потенциального претендента на эту роль.
Вот некоторые из ключевых навыков, которые обычно требуются для должности директора:
1. Лидерство и управление персоналом
Директор должен обладать эффективными навыками лидерства и быть способным управлять и мотивировать персонал. Он должен иметь опыт работы с командой и умение развивать сотрудников.
2. Стратегическое мышление
Директор должен быть стратегически нацеленным и уметь разрабатывать долгосрочные планы для организации. Он должен уметь видеть большую картину и принимать важные стратегические решения.
Шаг 3: Проведите анализ рынка
Прежде чем перевести работника на должность директора, важно провести анализ рынка, чтобы определить текущую ситуацию и требования к данной должности. Это поможет вам понять, насколько компания готова к такому переводу и какие навыки и опыт необходимы для успешного выполнения новой роли.
Вот несколько шагов, которые могут помочь вам провести анализ рынка:
- Изучите рынок: проведите исследование рынка и проанализируйте, какие компании находятся в том же отраслевом сегменте. Определите, какие директорские должности сейчас есть на рынке и какие требования предъявляются к кандидатам.
- Определите конкурентов: выясните, какие компании конкурируют с вашей компанией и кто занимает руководящие позиции в этих компаниях. Изучите, какие навыки и качества у них есть, чтобы успешно выполнять свои обязанности.
- Оцените сильные и слабые стороны: проанализируйте свою компанию и определите, в чем она сильна и слаба в отношении возможного перевода сотрудника на должность директора. Это поможет вам разработать стратегию для подготовки работника к новой роли.
- Оцените рыночную среду: изучите текущие тренды и изменения в отраслевой среде, чтобы определить, какие факторы могут повлиять на успех перевода работника на должность директора. Учитывайте изменения в экономике, технологии и любые другие факторы, которые могут оказать влияние на вашу компанию.
Проведение анализа рынка поможет вам получить более полное представление о состоянии вашей компании и рыночной ситуации. Это поможет вам принять информированное решение о переводе работника на должность директора и разработать план действий для подготовки к данному переходу.
Шаг 4: Разработайте план развития
После того, как сотрудник выразил желание занять должность директора и понятно, что он обладает необходимыми навыками и качествами, следующим шагом будет разработка плана его развития.
Чтобы успешно перевести сотрудника на должность директора, необходимо определить цели и задачи, которые необходимо достичь в процессе его развития. Подумайте, какие профессиональные навыки ему не хватает и какие аспекты его работы требуют улучшения.
Составьте план, включающий обучение, тренинги, менторство, участие в проектах и другие инструменты развития. Разделите план на этапы, установите конкретные сроки и ожидаемые результаты для каждого этапа.
Основываясь на плане развития, определите ресурсы, которые будут нужны для его реализации. Это могут быть обучающие курсы, консультации с экспертами, возможность проходить стажировки в других компаниях и т.д.
Убедитесь, что план развития согласован с руководством компании и получите их поддержку и одобрение. Объясните им, почему этот сотрудник достоин перевода на должность директора и как его развитие будет способствовать росту компании.
Важно помнить, что план развития должен быть гибким и адаптивным. В процессе его реализации могут возникать изменения и новые задачи, поэтому не забывайте периодически пересматривать и корректировать план совместно с сотрудником и руководством компании.
Шаг 5: Предоставьте обучение и тренинги
Чтобы успешно перевести работника на должность директора, необходимо предоставить ему обучение и тренинги, которые помогут развить необходимые навыки и знания.
Возможно, у работника уже есть определенный опыт в управленческой деятельности, но всегда полезно предоставить дополнительные возможности для обучения. Например, можно организовать участие в семинарах, тренингах или курсах по управлению проектами, финансам, маркетингу и другим ключевым областям работы директора.
Обучение может включать как формальные курсы, проводимые внутри компании или внешними тренерами, так и неформальные методы, такие как менторинг или коучинг. Работник может также обратиться к литературе и онлайн-ресурсам, чтобы продолжить самостоятельное обучение и изучение новых подходов и методик.
Важно создать подходящую обстановку для обучения, чтобы работник мог применять новые знания и навыки на практике. Можно предложить ему участвовать в проектах, которые помогут развить его лидерские качества и способности к принятию решений.
Не забывайте о постоянной поддержке и обратной связи. Регулярные встречи с работником помогут оценить прогресс и предоставить дополнительные рекомендации для развития в роли директора.
Предоставление обучения и тренингов важно не только для перевода работника на должность директора, но и для его долгосрочного успеха в этой роли. Инвестируйте в развитие своих сотрудников и создайте благоприятную среду для их профессионального роста.
Шаг 6: Назначьте сотрудника на ответственные проекты
После того как сотрудник был переведен на должность директора, необходимо назначить его на ответственные проекты. Это позволит сотруднику проявить свои лидерские качества и способности в новой должности.
Назначение сотрудника на ответственные проекты имеет несколько преимуществ:
- Дает возможность сотруднику проявить свое профессионализм и руководящие навыки.
- Позволяет сотруднику получить опыт работы в новой должности и расширить свои знания и навыки.
- Способствует развитию команды и повышению качества ее работы.
- Позволяет оценить эффективность работы сотрудника на новой должности.
Перед назначением на новые проекты необходимо провести анализ сильных и слабых сторон сотрудника и учесть его предпочтения. Также важно учитывать его опыт работы и специализацию.
После определения возможных проектов, необходимо составить план, в котором будет указано, какие проекты будут возложены на директора и в какой последовательности.
| Проект | Сроки | Ответственный |
|---|---|---|
| Проект 1 | 01.01.2023 — 01.03.2023 | Иванов Иван Иванович |
| Проект 2 | 03.03.2023 — 03.05.2023 | Иванов Иван Иванович |
| Проект 3 | 05.05.2023 — 05.07.2023 | Иванов Иван Иванович |
После назначения на проекты следует провести сотрудничество с другими руководителями и командами, чтобы обеспечить эффективную работу и достижение поставленных целей.
Назначение на ответственные проекты является одним из важных шагов в процессе перевода сотрудника на должность директора. Оно позволяет сотруднику полноценно проявить свои способности и достичь успеха в новой должности.
Шаг 7: Повышайте авторитет сотрудника
После того как сотрудник занял должность директора, важно помочь ему повысить свой авторитет в организации. Это позволит ему лучше выполнять свои обязанности и эффективно взаимодействовать со всеми участниками команды.
Следующие шаги помогут укрепить авторитет нового директора:
1. Делегируйте полномочия

Важно доверять директору и давать ему возможность самостоятельно принимать решения. Передавая ему полномочия, вы покажете, что верите в его способности и готовы поддержать его в новой роли.
2. Поддерживайте коммуникацию

Регулярные встречи и общение с директором позволяют поддерживать информированность и обеспечить понимание его действий и решений. Это также создает условия для открытого обмена мнениями и идей.
| Преимущества поддержки авторитета сотрудника: | Ключевые моменты: |
|---|---|
| Укрепление лидерских качеств | Постепенно устанавливайте высокие требования и ожидания к директору, ставьте перед ним сложные задачи |
| Повышение уверенности в себе | Поддерживайте директора, комментируя его успешные решения и достижения |
| Улучшение коммуникации | Активно участвуйте в процессе общения, задавайте вопросы и выразите свою заинтересованность в успехе проектов |
Повышение авторитета директора – это постоянный процесс, требующий взаимодействия и активной поддержки со стороны всех участников команды.
Шаг 8: Предложите стажировку
Стажировка может быть организована внутри компании или сотрудник может отправиться на стажировку в другую организацию или учебное заведение. Важно выбрать оптимальный вариант, который позволит сотруднику расширить свой кругозор и получить новые знания, а также приобрести опыт работы на руководящей позиции.
Во время стажировки сотруднику следует предоставить возможность общаться с другими руководителями, посещать важные совещания и мероприятия, а также принимать участие в процессах принятия стратегических решений.
Стажировка обычно продолжается от нескольких недель до нескольких месяцев, в зависимости от сложности и объема работы. По окончании стажировки рекомендуется провести анализ ее результатов и предоставить обратную связь сотруднику, чтобы помочь ему развиться и расти профессионально.
Не стоит забывать о том, что стажировка — это не просто период вакансии на руководящей позиции, а возможность для сотрудника проявить себя и подтвердить свою пригодность для должности директора.
Шаг 9: Подготовьте план смены должности
Переход на должность директора требует внимательного планирования и координации внутренних процессов. Подготовьте план, который будет включать в себя следующие шаги:
1. Определите основные задачи новой должности
Прежде чем перевести работника на должность директора, необходимо определить основные задачи и обязанности, которые будут лежать на его плечах. Учтите стратегические цели компании и область деятельности, которой занимается организация.
2. Составьте перечень необходимых навыков и знаний
Для успешной работы на должности директора необходимы определенные навыки и знания. Составьте перечень требований к кандидату и убедитесь, что работник, которого вы собираетесь перевести, обладает необходимым опытом и компетенциями.
| Навыки | Знания |
|---|---|
| Стратегическое мышление | Знание основных принципов управления |
| Лидерские качества | Опыт работы в сфере, в которой работает компания |
| Умение принимать решения | Понимание финансовых процессов |
3. Определите необходимое обучение и развитие
Возможно, работник, которого вы переводите на должность директора, уже обладает некоторыми навыками, но ему могут потребоваться дополнительные знания и навыки. Определите, какое обучение и развитие ему необходимы, чтобы успешно выполнять свои новые обязанности.
Также важно учесть, что смена должности может повлечь за собой изменение рабочего графика и/или возможных командировок. Предупредите работника об этих возможных изменениях заранее.
Подготовка плана смены должности поможет гарантировать успех перехода работника на новую должность и позволит избежать нежелательных ситуаций или проблем.
Шаг 10: Оцените результаты и решите о назначении
Когда вы провели все необходимые этапы процесса перевода работника на должность директора, настало время оценить его результаты и принять решение о назначении.
1. Анализ деятельности кандидата
Проанализируйте деятельность кандидата на прежней должности и на вновь исполненой временно или по совместительству должности директора. Оцените, насколько успешно он справлялся с новыми задачами, какие результаты достиг, и какой вклад внес в развитие компании.
2. Обратная связь от коллег и подчиненных
Важно получить обратную связь от коллег и подчиненных кандидата. Проведите собеседования, опросы или беседы, чтобы узнать их мнение о его качествах лидера, коммуникативных способностях, способности принимать решения и управлять коллективом.
| Оценочные критерии | Коллеги | Подчиненные |
|---|---|---|
| Лидерские способности | … | … |
| Коммуникативные навыки | … | … |
| Умение принимать решения | … | … |
| Умение управлять коллективом | … | … |
3. Обсуждение результата
После сбора всех данных и обратной связи, проведите совещание с руководством компании, где обсудите результаты оценки кандидата и поделитесь своим мнением. Примите консенсусное решение о назначении или о невозможности перевода на должность директора.
Не забывайте, что принятие решения о назначении – это ответственный шаг, который будет влиять на работу компании в целом. Тщательно взвесьте все аспекты и примите обоснованное решение.